Field Crop Update May 21, 2025
Erik Smith, Area Field Crop Specialist/Team Leader
Central New York Dairy and Field Crops
1. Field Observations
We had a few days without rain (as the raindrops begin to fall once again), but the low temps didn't help dry out areas hardest hit over the past week. And with more rain than sunshine in the forecast over the next 10 days, this is a May to forget. According to the USDA Crop Progress Report, about 15% of NY corn acres have been planted (compared to ~30% at this time in an average year), and about 5% of NY soybean acres (compared to 20%). So we're halfway to a "normal" planting season for corn and only about 1/4 of a "normal" soybean planting season, and those deficits are likely to rise before next week.
And judging by the alfalfa measurements, many of us are still waiting to take first cutting. With nearly all of our measured fields either near, at, or past peak quality, or already cut, this will be our last week of measurements for the season.
While we're considering our next moves, here is some more timely information from Dairy Forage Systems Management specialist, Joe Lawrence:
"With wet conditions persisting in many areas of the state in the second half of May, it is time to start thinking about and adjustments to forage strategies.
Hay Crop:
Most grass hay crops and winter grains are past their optimum for lactating cow quality feed. As weather windows allow, target mixed stands and legumes that are still in the window for optimum lactating cow feed. Return to over mature fields after all lactating quality feed is harvest and consider alternative storage strategies for over mature hay finding ways to store it separate from lactating quality feeds so it can be used for appropriate animal groups on the farm.
Corn Silage:
The remainder of the growing season will have a significant impact of the outcome of the crop and while adjustments to corn relative maturities often begin by May 20 to 25 it is important to not overreact. While data suggest that yields can begin decline after late May, this is not always the case. When a good growing season follows late planting, performance and weather (yield and silage nutritional value) remains competitive. One thing that always challenges crop performance is planting into wet soil conditions. Even as we enter late May, waiting a few extra days for optimum soil conditions is a preferred tradeoff to "mudding it in". If planting delays persist through the end of the May, review growing degree day (GDD) requirements for selected hybrid relative maturities and average GDD accumulation for your location. While it is not possible to predict the remainder of the growing season, using the best available information helps reduces the risk of making unnecessary adjustments.
Additional Resources:
Additional resources can be found on the PRO-DAIRY Forage Systems webpage.
- First cutting: Resources for success in 2022
 - Storage strategies for over mature hay and securing extra forages
 - Resources for dealing with spring weather delays
 - Late spring: Forage considerations beyond corn
 - Late planted corn for silage and GDD accumulation"
 
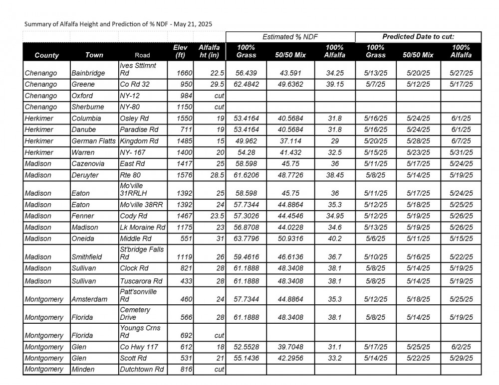
2. First Cutting Forage Quality
Alfalfa height is a reliable indicator of NDF values in the field, so we use alfalfa height to predict Neutral Detergent Fiber (NDF) for alfalfa, mixed alfalfa/grass, and pure grass stands. When using alfalfa and grass height as an indicator of NDF content, in general:
Begin cutting 100% grass stands when nearby alfalfa is 14" tall to achieve the desired 50% NDF.
Begin cutting 50/50 alfalfa/grass stands when nearby alfalfa is 22" tall for the desired 44% NDF.
Begin cutting 100% alfalfa stands when alfalfa is 28" tall for the desired 40% NDF.
To achieve the desired NDF it is necessary to begin cutting at NDF values slightly lower than the desired value assuming some harvest and storage losses (which the above alfalfa height values reflect). For example 28 inch tall alfalfa is closer to 38% NDF but you will need to start then to end up at 40% NDF.
Predicted days to cut are based on daily NDF increases for grasses (1%), 50/50 mixed stands of (0.8%), and alfalfa (0.5%). Typically, NDF increases about 0.8 to 1.2/day for grasses and 0.4 to 0.7/day in alfalfa, expecting the lower end of that range in cooler weather and the higher end in warm. See the following fact sheet for more details: Predicting Spring Fiber Content of Forages.
Always check your fields to verify your heights and conditions! Remember that these predicted harvest dates are not set in stone, and will fluctuate as we go along. And they may creep up on us - especially since the fields are getting a lot of moisture now, and the temperature is only going up!


If your location is not listed but you know the height of your alfalfa, this chart is for you. As of May 20, 2025:

See you in the field!
Upcoming Events
If I'm Not Here Tomorrow: Estate Planning for Young Farm Families with Children
November 5, 2025
Free webinar
Inspired by Annie's: Getting Your Finances in Order for 2026
November 5, 2025
November 12, 2025
Free events. In-person and virtual options.
Dairy Systems and Technology Showcase - Farm Tours
November 6, 2025 : CANCELLED Farm Tour - Creek Acres Farm
Amsterdam, NY
Free event, but registration required. Brand new freestall barn. All attendees must wear clean clothes and boots, and scrub and disinfect footwear upon arrival and before leaving.
November 6, 2025 : CANCELLED Farm Tour - Glenvue Dairy Farm
Fultonville, NY
Free event, but registration required. Under construction 10 robot farm. All attendees must wear clean clothes and boots, and scrub and disinfect footwear upon arrival and before leaving.
November 7, 2025 : Farm Tour - Indian Camp Farm & Dairy
Earlville, NY
Free event, but registration required. Four robot barn and new manure aeriation system. All attendees must wear clean clothes and boots, and scrub and disinfect footwear upon arrival and before leaving.
Announcements
Sign Up for Our Weekly E-Newsletter
We send out a bi-weekly e-newsletter that has announcements, upcoming programs, and opportunities for you! Registration is quick, easy, and free. Click here to sign up today!Farmers Can Join MeatSuite For Free!
MeatSuite.com is a free resource provided by Cornell University where NY meat farmers can create a farm profile and list their bulk (wholes, halves, quarters) and bundled (i.e. Grilling Bundle) meat products.Why should farmers join?
1. It's free and easy!
2. Connect with more local customers. In the past year the MeatSuite.com farm directory had 8,300 visits from New York consumers. Farm profiles get as many as 25 views per month from potential local customers. We also spotlight MeatSuite farms on social media and bring attention and purchases to farms through highlights and giveaways.
How do I join?
Farmers can visit https://www.meatsuite.com/farmers/ to create a free farm profile. You must list at least one product for your farm's profile to go live. You'll also have access to Cornell's free Meat Price Calculator, a helpful tool for pricing your meat to make a profit.
While you're on MeatSuite, check out the "Creating Consumer-Friendly Bulk Meats" publication on the log-in page. It has tips on how to create bulk meat products that are easier for first-time buyers to say "yes" to.
If you have any questions as you create your farm profile or products, we're here to help! Please email Matt LeRoux at mnl28@cornell.edu.



